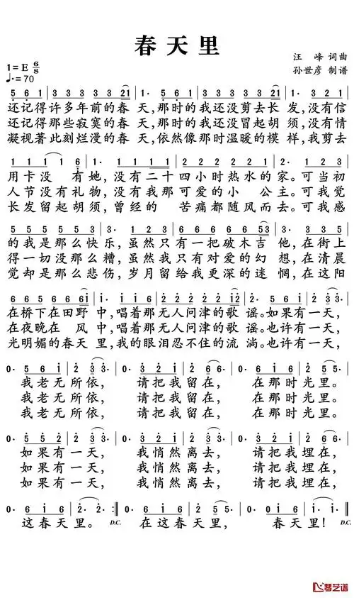
汪峰 春天里