图知网
搜索
首页
热门推荐
图片分类
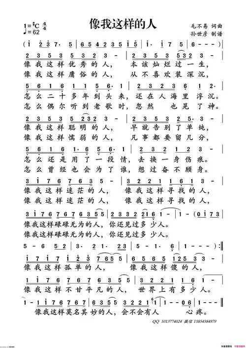
像我这样的人(毛不易词曲 刘宇宁演唱)_简谱
下载原图
相关图片
像我这样的人简谱
像我这样的人简谱(歌词)-刘宇宁演唱-momoliu曲谱1
像我这样的人简谱
姜育恒像我这样的人简谱曲谱歌谱谱子
像我这样的人
像我这样的人毛不易双手简谱钢琴谱
为你推荐
孙俪两套look服气,罗晋穿针织衫帅出新高度_颜色_中国_全身
汽车扶手箱,让你轻松告别疲劳
虞书欣耳环好长##虞书欣心形串珠耳环#虞书欣晒粉丝见面会照片,心形
名字设计
瑞士格林德尔瓦尔德艾格峰风景图片,4k高清风景图片,娟娟壁纸
男人婆张延丈夫是余罪里的他婚后16年夫妻恩爱如初
仙气飘飘的古风女生头像,我好爱呀!
林妙可旗袍亮相与关晓彤同框竟被秒成路人圆润身材引发热议