爱主题王一博主题全新微信

相关图片

乐华就王一博电话泄露发声明 已取证保留追究权利

康师傅冰红茶品牌代言人@uniq-王一博微信红包封面现已上线,痛快送

勇敢的人先加王一博微信##王一博hiphopforever播放破亿##王一博

王一博0805生日快乐

王一博王甜甜微信表情包确定不get一下吗

随机推荐

迪丽热巴图片

空白岁月只为等你

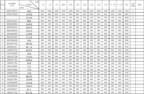
收入台账电子表格样式

韩国|恋爱|exo|金钟仁|社交平台|bigbang_网易订阅

迷你可爱卡通表情烟灰缸创意个性时尚潮陶瓷烟缸家居礼品礼物摆件 (耶

王源美化头像

关键词:高清唯美秋天落叶风景图片下载 秋天 落叶 唯美 伤感 秋叶

萌娃头像 #小胖妞上线 #最萌最萌我最萌 #萌到爆炸了99 - 抖音