周杰伦晴天钢琴简谱即兴伴奏初学者

相关图片

晴天吉他谱周杰伦g调吉他弹唱六线谱飞韵吉他编配

晴天吉他谱周杰伦g调完整版六线谱晴天吉他演示视频

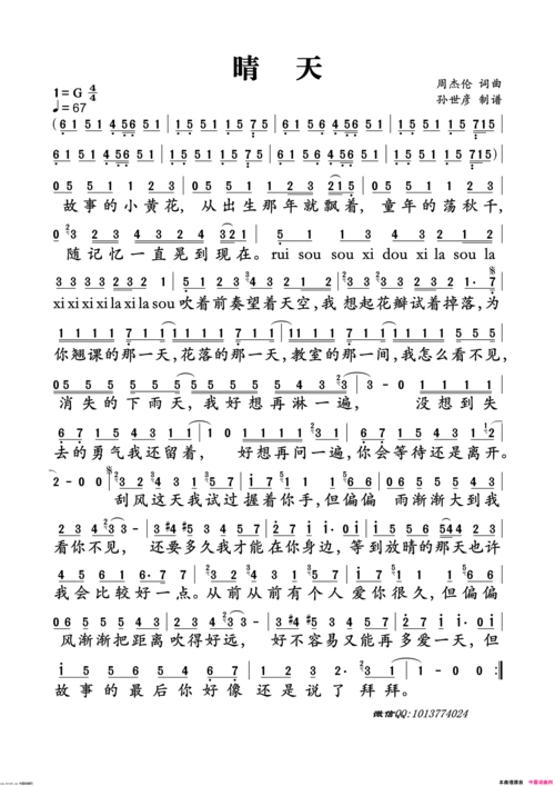
《晴天》原创歌曲简谱,周杰伦作词 周杰伦作曲 周杰伦演唱 - 歌曲简谱

周杰伦晴天吉他谱

谁有周杰伦《晴天》的数字曲谱

随机推荐

冷冷的情人,美美的洗发 - [中国长发网]

喜欢把自己觉得美好的事物用相机记录下来 特别热爱生活的一个小女孩

最帅流量男星,五官精致度不输女明星,能进前10名的都有谁?

宋·耀州窑婴戏缠枝花纹碗 现珍藏衞府,与国家博物馆馆藏的宋代 - 抖

吴磊 在娱乐圈当运动员#你一旦看过吴磊的肌肉,你这辈子就定型了哪

cover

圈内10位90后男明星,你还喜欢哪一个?-第9张图片-绍兴汽车网

大时代粤语 郑少秋孤注一掷赚了四个亿 不愧是经典神剧!